Philhealth Contribution Certificate Format
How To Generate An Employee Government Certificate Of
Philippine Health Insurance Corporation Individually Paying
Letter Certification Philhealth Contribution
Philippine Health Insurance Corporation Individually Paying
Philhealth 101 Sample Philhealth Request Letter
Philhealth Online Registration Contribution Requirements
5 Quick Steps To Check Your Philhealth Contribution Online
Philhealth Online Registration Contribution Requirements
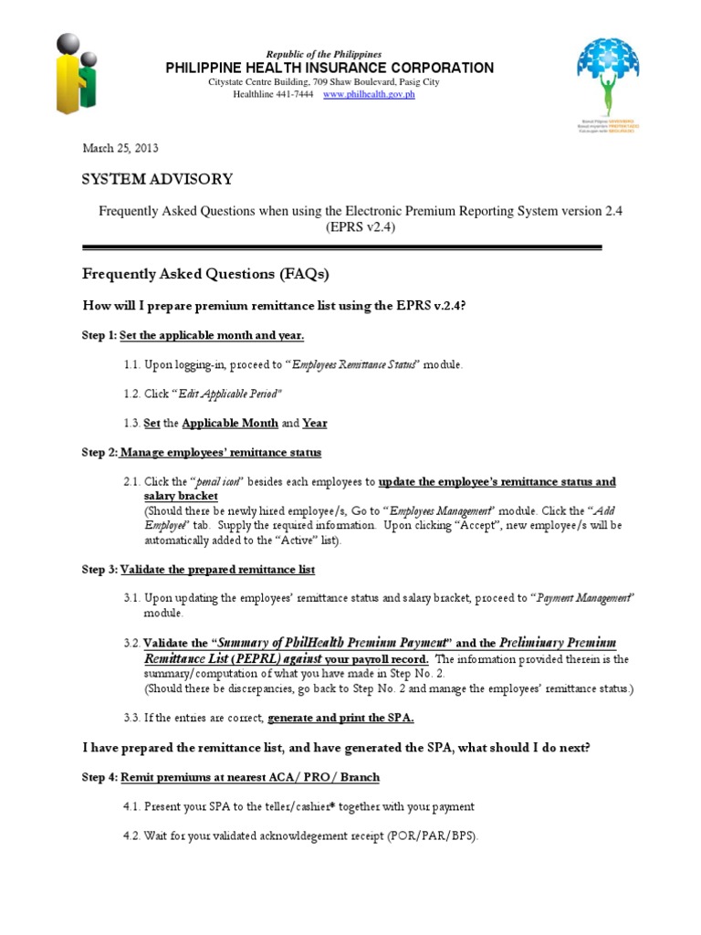
Eprs For Philhealth Industrias De Servicio Bienestar
Philhealth 101 Sample Philhealth Request Letter
How To Add The Official Receipts Or Number Of The
Philheal Th Circular No 2 J 11 Ootjs To All Members
How To Get Philhealth Mdr Online Member Data Record Para
Philippine Health Insurance Corporation Individually Paying
Philhealth Online Registration A Step By Step Guide
Philippine Health Insurance Corporation Individually Paying
32 Salary Slip Format Templates Word Templates For Free
How To Get Philhealth Mdr Online Member Data Record Para
Part 182 Resignation Letter Format To Manager Fresh Simple
Winpsporfai Blog Archive Deactivation Letter Sample
How To Register In Philhealth Online Easy Step By Step Guide
Employment Separation Certificate Template Thepostcode Co
Philhealth Board Resolution No Jiifj S 2018 Resolution
How To Generate An Employee Government Certificate Of
Complete Guide To Philhealth Contribution 2018
18 Printable Salary Pay Slip Forms And Templates Fillable
Philhealth Board Resolution No Jiifj S 2018 Resolution
How To Check Philhealth Contributions Online Local Pulse
Philhealth Online Registration Contribution Requirements
A Guide To Government Contributions For Filipino Business
How To Register And Get Philhealth Number Online
Philippines Mandatory Employee Benefits Contributions
How To Request Copy Of Philhealth Member Data Record Mdr
A Guide To Government Contributions For Filipino Business
Philhealth Contribution Table For 2019 And Steps For Member
Certificate Of Payment Philhealth Best Design Sertificate 2018
How To Update Your Philhealth Membership Data Record Mdr
How To Register In Philhealth Online Easy Step By Step Guide
How To Download Philhealth Mdr In 3 Easy Steps With
Free 26 Payroll Samples Templates In Pdf
2013 2019 Form Ph Pmrf Fill Online Printable Fillable
What To Consider In Computing Income Tax
Part 182 Resignation Letter Format To Manager Fresh Simple
Winpsporfai Blog Archive Deactivation Letter Sample
Business Letter Formats Ndash Download Pdf Proper Email
Salary Differential Under The New Maternity Leave Law
Employee Registration Philippines A Guide For Employer S
Cioliebuck Deactivation Letter Sample Philhealth Form
Certificate Of Employment And Compensation Pagibigfund Gov
How To Check Your Philhealth Contribution Online
How To File For Philhealth Maternity And Ask An Army
Sample Separation Letter Kadil Carpentersdaughter Co
Quick And Easy Steps On How To Get Your Philhealth Id Card
New 2017 Philhealth Contribution Table Table Deduction
Sample Authorization Letters To Process Documents On Your Behalf
Philhealth Premium Payable Xxx Sss Premium Contribution
Eleas C00 Region Iv 13 Mimaropa
How To Download A Copy Of Your Philhealth Mdr Online
Business Letter Formats Ndash Download Pdf Proper Email
How To Add The Official Receipts Or Number Of The
Sss Pag Ibig Philhealth Benefits Remittance Guide
How To View Or Check Sss Contributions Online
How To Check Philhealth Contributions Online Local Pulse
Philhealth Ready Tsekap Go Run 2015 Registration
How To Make An Authorization Letter With Pictures Wikihow
Sss Verification Slip Philippines Form Of Contribution How
Labor Employment And Hr Consulting In Philippines
Philhealth 101 Sample Philhealth Request Letter
National Budget Memorandum No 131
Top Payslip Template Word Document Excel Free Download Uk
Essential Info About Philhealth Contribution Requirements
Philhealth Revised Employer Remittance Report Rf 1
How To Connect To Eprs Guidelines For New And Existing
Philhealth Online Registration A Step By Step Guide
Philippines Mandatory Employee Benefits Contributions
An Employer S Guide To Registering New Employees In The
List Of Appendice 1 Docx 17 List Of Appendices Letter
How To Register In Philhealth Online Easy Step By Step Guide
National Day Of Reconciliation The Fastest Sample
Audited Entity Financial Statements Phi Senior High School
New Philhealth Contribution Table 2019



Post a Comment
Post a Comment