Administrative remarks pg 13 entry for esr. Participation in cycle navy wide examination held in month year and frocked to that rate per bupersinst 143016f statement is signed by official with by direction authority.
Signing of correspondence by direction for the chief of naval personnel chnavpers.
Navy by direction letter sample. Do not pick me sample 810 811 board. The united states department of the navy and the bureau of medicine and surgery may or may not use these sites as additional distribution channels. Sample application letter for non degree training for duins for msc.
Sample letter for other special testing. Sample letter to the board. Letter is not practical the printing requisition for the pre printed letters will carry a signed certification of approval by the authorizing official.
Sample commanding officers brief. A well designed navy by direction letter template can help design navy by direction letter document with unified style format and layout. Chief of naval personnel subj.
Can be faxed to 901 874 2054 dsn 882 or scanned and e mailed to. I understand frocking is an administrative authorization to wear the uniform and insignia of a higher rate. Sample application letter for full time duty under instruction for nurse corps officers.
Sample format cfl designation letter format to transfer cfl access. Sample letters packages search. 11 11b sample letter responding to an inquiry from the general public when unanswerable by this.
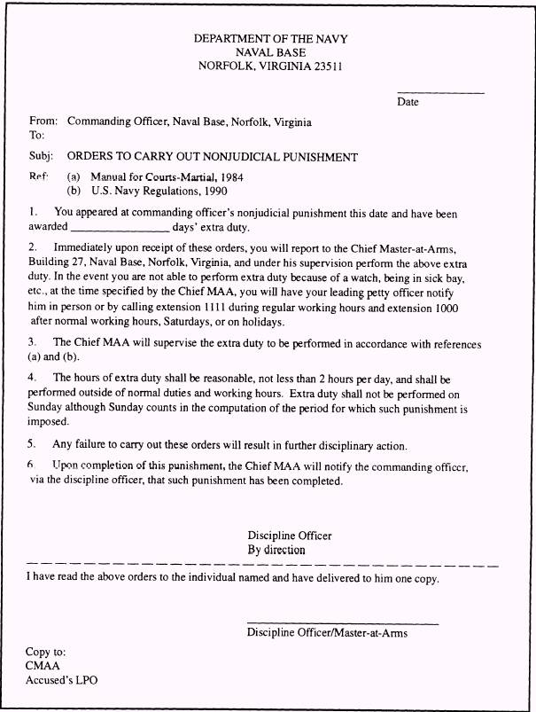
Upc sample letter of designation. Bupers instruction 52166 from. Sample letter for steroid testing.
Additional by direction. This is also a written version of the documented counseling session offering immediate assistance by other senior and more experienced members in the command. This is an official us.
Sample letter responding to an inquiry from the general public when unanswerable by this. Sample letter for failure to meet testing requirements. Navy by direction letter template is a navy by direction letter sample that that give information on document style format and layout.
Call mynavy career center. Cfl designation letter 1. This sample letter of instruction provides the junior officer with direct feedback with no grey areas in tone or meaning.
Sample treatment completion letter sample treatment refusal letter. 11 2 sample automated navy route slip for. Navy website need career pay or personnel help.
Determination of positive urinalysis. Must be on command letterhead and signed by the co. Additional by direction authority.
833 330 mncc or 901 874 mncc dsn 882 5672 email mncc live chat. Director physical readiness and community support n135 subj. Bmi 152027f encl 1 1042010.
Department of the navy.
Best Photos Of Navy Letter Of Appreciation Template
Bumed Instruction 5216 13 From Chief Bureau Of Medicine
Best Photos Of Navy Letter Of Appreciation Template
U S Navy Marks An Others On Marine Uniforms
About Attention Line In A Business Letter Business Letter
Best Photos Of Navy Standard Letter Format Standard Naval
Standard Naval Letter Format Climatejourney Org
Official Welcome Aboard Package
Bumed Instruction 5216 13 From Chief Bureau Of Medicine
Best Photos Of Letter Of Instruction Template Sample
11 12 Step By Step Instructions Template Lasweetvida Com
Templates For Rental Agreements In Word Or Contract
Bumed Instruction 5216 13 From Chief Bureau Of Medicine
Standard Naval Letter Format Climatejourney Org
Letter Of Direction Template Barrest Info
Letter Of Direction Template Barrest Info
Nonskid Repair Schedule Manualzz Com
Rely On Everyday Words Other Good Stuff No More Chapter 3
Standard Naval Letter Format Climatejourney Org
Gccs M Navy Training System Plan Ntsp
Clemency And Corrective Action On Review
Letter Of Direction Template Barrest Info
Thank You Letters Robbins Maritime
Standard Naval Letter Format Climatejourney Org
Information Technology It Cover Letter Resume Genius
Navy Appointment Letter Instruction Navy Letter Format
Gallery For Navy Letterhead Font Template Army Memo Format
018 Sample Business Letter Memo Format New Transmittal
Simple Legal Memo Document Download Format Word Sample
Property Settlement Agreement Template Fresh Letter
Department Of The Navy Navbasekitsapinst 5530 14b Ch 3 N3at
Gallery For Navy Letterhead Font Template Army Memo Format
Standard Naval Letter Format Climatejourney Org
4 Ways To Format A Block Quote Wikihow
Non Punitive Letter Of Caution
Standard Naval Letter Format Climatejourney Org
Department Of Defense August 26 2019 Memorandum For Office
Change 165 Manual Of The Medical Department U S Navy Navmed
Letter Of Resignation 51 Examples In Word Pdf
Mco P1610 7f W Ch 1 2 Performance Evaluation System Short
Jaginst 5800 7e Manual Of The Judge Advocate General
Department Of Defense August 26 2019 Memorandum For Office
Standard Naval Letter Format Climatejourney Org
Statement Of Service Letter Requirements And How To Complete It
Regulations Forms Letters Spacea Net
Point Paper Format Navy Example Floss Papers
Federal Register Taking And Importing Marine Mammals
Physician Assistant School Application Recommendation Letter
10 Commendation Letter Sample Panacea Global Inc
20 Professional Business Letterhead Templates And Branding
Donald Trump S Tough Guy Letter To Erdogan Is Mocked Daily
Letter Of Resignation 51 Examples In Word Pdf
Change 165 Manual Of The Medical Department U S Navy Navmed
Navy Information Operations Nwp 3 13
Boot Camp Letter Examples Writing Positive Letters Sandboxx
The Navy S Uss Gabrielle Giffords And The Future Of Work
Official Welcome Aboard Package
Indemnity Letter Sample 9 Template Dhl
Point Paper Format Navy Example Floss Papers
Simple Contract Sample Business Agreement Template Loan
Naval Surface Warfare Officer Swo Careers Navy Com
Information Technology It Cover Letter Resume Genius
Standard Naval Letter Format Climatejourney Org
Federal Register Taking And Importing Marine Mammals
Boot Camp Letter Examples Writing Positive Letters Sandboxx
10 Commendation Letter Sample Panacea Global Inc
Intro To Military Justice Discipline Objectives From
Department Of Defense August 26 2019 Memorandum For Office
50 Effective Letters Of Reprimand Templates Ms Word ᐅ
Navy Point Paper Format Sample Floss Papers
10 Commendation Letter Sample Panacea Global Inc
Nonprofit Bylaws Write Online Download For Free Formswift
16 Professional Memo Templates Sample Word Google Docs
Informal Letter Format Examples Topics What Is Informal
How Standard Letterhead Format Company University Business
Gao 19 512 Guided Missile Frigate Navy Has Taken Steps To
Athletic Director Cover Letter And Resume Examples
44 Transfer Letter Templates Pdf Google Doc Excel
Letter Of Resignation 51 Examples In Word Pdf
Federal Register Takes Of Marine Mammals Incidental To
Construction Subcontractor Agreement Template Impressive
20 Cover Letter Templates To Impress Employers Guide
Thank You Letters To Veterans Example Sample Templates
Institute Of Integrated Electrical Engineers Of The
Standard Naval Letter Format Climatejourney Org
Business Letter Sample Word Of Intent Free Format Best For
Downloadable Firefighter Resume Sample Resume Companion
45 Biography Templates Examples Personal Professional
Department Of Defense August 26 2019 Memorandum For Office
Boats For Beginners Navy Ships
2012 Navy Region Nw Fcpo Symposium Cpc Handbook
Merchant Navy Marine Engineering Marine Maritime Deck Cadet
How To Write An Authorization Letter Quora

Post a Comment
Post a Comment