The next best thing to do is to read this deped teachers guide if you want to apply for teacher 1 deped entry level position. 25 csc form 211 medical certificate 26 nso birth certificate 27 statement of assets liabilities and networth saln 28 bir form 1902 or 2305 29 marriage contract if applicable 3.
Omnibus Certification Of Authenticity And Veracity Of Documents
Basically this document is an affirmation coming from the applicant that all the submitted papers are legitimate and true.
Example of omnibus certification for teacher. Voters id and or barangay certification of residency as deemed acceptable by the school screening committee. Lets start your journey of becoming a teacher. It is worded li.
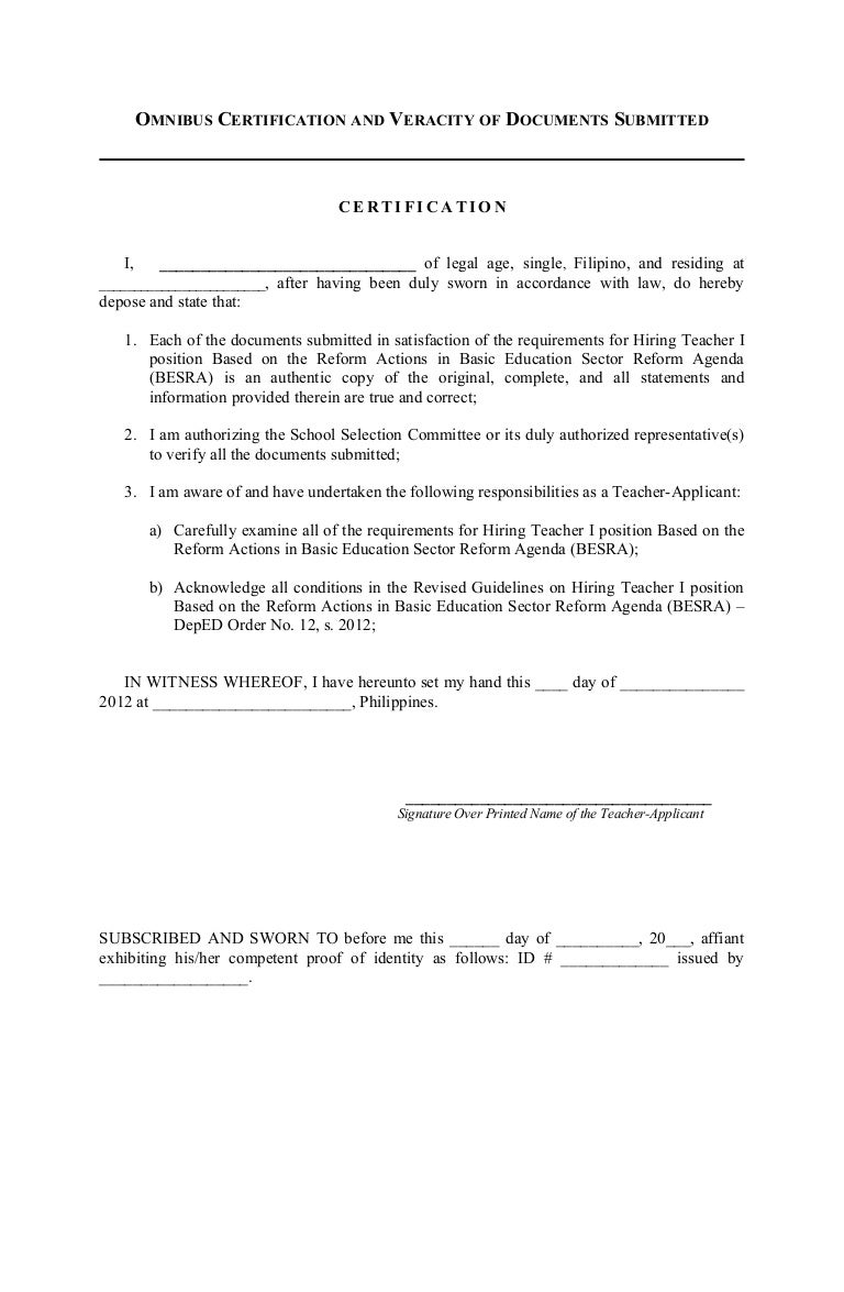
Teacher 1 application process deped entry level position deped teachers guide. I am executing this certification to attest to the authenticity and veracity of all documents submitted. By executing this omnibus certification of authenticity and veracity of documents i hereby authorize the department of education division of to verify the authenticity of the above mentioned documents.
Service record performance ratings and school clearance if with teaching experience. I am executing this certification to attest to the authenticity and veracity of all documents submitted. Certificates of specialized training.
Register at the department of education s online system at applicationdepedgovph. The omnibus certification is a mandatory requirement which to be attached together with the pertinent application documents. Omnibus certification of authenticity and veracity of documents one of the perennial questions of teacher applicants is where to get an omnibus certification of authenticity of documents.
I am executing this certification to attest to the authenticity and veracity of all documents submitted. I am executing this certification to attest to the authenticity and veracity of all documents submitted. Omnibus certification format 1.
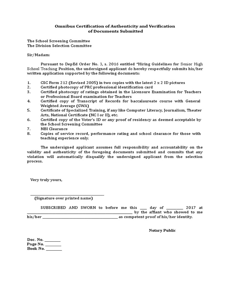
With teaching experience f certificates of specialized training if any g certified copy of the voters id andor any proof of residency as deemed acceptable by the school screening committee h nbi clearance 3. An omnibus certification and veracity of documents submitted is required when you apply with the public school system to hold you accountable to whatever you state in your application. Department of education region i division of city schools san carlos city pangasinan omnibus certification of authenticity and veracity of documents.
This certificate should be legalized by a notary public and typically ranges between 100 200 php at a local notary public or municipals public attorneys office. Transcript of records tor with certification of general weighted average of academic grades. I your complete name of complete address respectfully submit the herein folder containing the documents incidental to my application for.
By executing this omnibus certification of authenticity and veracity of documents i hereby authorize the department of education division of rizal through the school principal to verify the authenticity of the abovementioned documents.
Deped Omnibus Certification Of Authenticity And Veracity Of
Omnibus Certification Of Authenticity And Veracity Of Documents
Omnibus Certification Fill Online Printable Fillable
Omnibus Certification Of Authenticity And Veracity Of Documents
Omnibus Certification Of Authenticity And Veracity Of All
Omnibus Certification Of Authenticity And Veracity Of Documents
Deped Malaybalay City Recruitment Of Elementary Teacher I
Omnibus Certification Of Authenticity And Veracity Of All
Certification Application Security Sample Customer Service
Omnibus Certification Of Authenticity And Veracity Of Documents
Omnibus Certification And Authentication Docshare Tips
Omnibus Certification Of Authenticity And Veracity Of Documents
Omnibus Certification Fill Online Printable Fillable
Certificate Of Authenticity Mavl Omnibus Certification
Omnibus Certification Public School Teachers Identity
Pdf Teaching Literature In The Multicultural Classroom
Imhelzkie Blog Paano Mag Apply Sa Public School
Omnibus Certification Of Authentication And Veracity Of
Teacher 1 Application Process And Requirements Deped
Updated Deped Order No 22 S 2015 Hiring Guidelines
Sample Omnibus Certification For Teachers
Hiring Guidelines For Teacher I Position Deped Order No Ppt
Omnibus Certification Fill Online Printable Fillable
Cook Inlet Tribal Council Inc Pdf
Department Of Education Romblon 323 Photos Community
Omnibus Certification Of Authenticity And Veracity Of All
Omnibus Certification Of Authenticity And Veracity Of
Application Letter For Teacher In The Philippines Sample
Updated Deped Order No 22 S 2015 Hiring Guidelines
Doc Policy On Teaching Philippines Ron Boysillo
Huntley Project Public Schools Policy Manual By Montana
Omnibus Certification Of Authenticity Docx Docx Republic
Social Security Teach The Vote
16 Best Blog Posts Images In 2018 Blog Oven Vegetables
Omnibus Certification Fill Online Printable Fillable
5 Sample Letter Of Intent For Teachers Corpus Beat
Collective Bargaining Agreement Norwalk Teachers Association
Sample Letter Of Emloyment Termination For Cause
Deped San Carlos City Pangasinan Recruitment Of Senior High
Flot Borja Flotborja On Pinterest
Department Of Education Romblon 323 Photos Community
Deped Valencia The Official Website Of Deped Division Of
Elementary Junior High School And Senior 002 S 2018
Pdf The Abolition Of The General Teaching Council For
The Value Of A College Education On The American Worker
Omnibus Certification Fill Online Printable Fillable
Making It Real A Practice Based Early Childhood Teacher
Elementary And Secondary School Teachers Policy Context
Huntley Project Public Schools Policy Manual By Montana
2014 17 Bargaining Contract Utla
Collective Bargaining Agreement Norwalk Teachers Association
Improving The Language Skills Of Pre Kindergarten Students
3 A Workforce To Integrate Social Care Into Health Care
Pangasinan Division Ii First Staff Meeting May 13 Ppt Download
Federal Register Customer Due Diligence Requirements For
2015 Hiring Guidelines For Teacher 1 Position In The
Nasp Condemns Hate Driven Violence Urges Schools To
Teacher Notes Personal Financial Literacy
Pdf Reconceptualizing Teacher Education At The University
2019 Deped Online Application And Hiring Process Teacherph
Federal Register Medicare And Medicaid Programs Cy 2019
2014 17 Bargaining Contract Utla
Department Of Education Romblon 323 Photos Community
Kindergarten Teacher Degree Best Of Math Teacher Resume
Conducting International Assessments In Mathematics And
Submitted Letter Format Omnibus Certification Of
Schools Teachers And Training In Risk Reduction After The
Intangible Assets For Academic Libraries Definitions
Parental Leave Policies And Practices Of Us Family Medicine
Deped Valencia The Official Website Of Deped Division Of
Division Memorandum Hiring Guidelines For Teacher I
Maybe They Re Born With It Or Maybe It S Experience Toward
Socio Demographic Factors Associated With Overweight And
2019 Requirements For Deped Teacher Applicant Deped Tambayan
Updates On Shs Implementation Ppt Video Online Download
Collective Bargaining Agreement Norwalk Teachers Association
Letter Of Intent For Teachers Ranking Elementary Principal
Compensation Reform And The Federal Teacher Incentive Fund
What Skills And Training Americans Say They Need To Compete










Post a Comment
Post a Comment